What Is the Quotient X3 3x2 5x 3 X 1
Divide The Polynomial F X X3 3x2 5x 3 By The Polynomial G X X2 2 And Maths Polynomials 827635 Meritnation Com
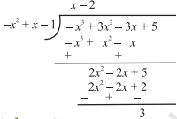
.png)
What Is The Quotient X3 3x2 5x 3 X 1
On Dividing X3 3x2 X 2bya Polynomial G X The Quotient And Remainder Were Cbse Class 10 Maths Learn Cbse Forum
What Is The Quotient Of X 3x 5x 3 X 1
Polynomial Long Division X 3 3x 2 5x 3 X 1 Youtube
What Is The Quotient X3 3x2 5x 3 X 1 24 Pages Solution In Doc 500kb Latest Update Brooke Study For Exams
What Is The Quotient X3 3x2 5x 3 X 1 What Is The Quotient X3 3x2 5x 3 X Brainly Com
Divide The Polynomial P X X3 3x2 5x 3 By The Polynomial G X X2 2 Find The Quotient And Remainder
Divide X3 3x2 5x 3 By X2 2 Find The Quotient And Remainder Youtube
Divide 3x2 X3 3x 5 By X 1 X2 And Verify The Division Algorithm Snapsolve
Example 8 Divide 3x2 X3 3x 5 By X 1 X2 Examples
If F X 2x 4 5x 3 X 2 3x 2 Is Divided By G X The Qoutient Is Q X 2x 2 5x 3 And R X 2x 1 Find G X
1 Divide The Polynomial P X By The Polynomial G X And Find The
Ncert Solutions For Class 10 Maths Chapter 2 Polynomials Exercise 2 3 Pocket Gyan
What Is Quotient X3 3x2 5x 3 X 1
Divide P X X 3 3x 2 5x 3 By G X X 2 2 And Find Remainder
What Is The Quotient X3 3x2 5x 3 X 1 24 Pages Solution In Doc 500kb Latest Update Brooke Study For Exams
If P X X3 3x2 5x 3 And G X X2 2 Find Remainder Mathematics Topperlearning Com T7tfrb44
What Is The Quotient X3 3x2 5x 3 X 1 Youtube
Divided The Polynomial P X By The Polynomial G X And Find The Quotient And Remainder In Each Of The Following P X X 3 3x 2 5x 3 Q X X 2 2
Comments
Post a Comment